Granthaalayah
AN INVENTORY MODEL FOR ADVANCED MATHEMATICAL MODELING ACROSS MULTIPLE INTERCONNECTED MARKETS

Original Article

AN INVENTORY MODEL FOR ADVANCED MATHEMATICAL MODELING ACROSS MULTIPLE INTERCONNECTED MARKETS

 

Archit Jain 1*Icon

Description automatically generated, Lakhan Singh 2Icon

Description automatically generated

1 Scholar, Institute, Digamber Jain College, Baraut, Uttar Pradesh, India

2 Professor & Supervisor, Institute, Digamber Jain College, Baraut, Uttar Pradesh, India

 

CrossMark

ABSTRACT

This study presents a comprehensive framework for advanced mathematical modeling across multiple interconnected markets, highlighting the importance of capturing interdependencies among demand, supply, pricing, and strategic interactions. Unlike traditional single-market analyses, multi-market modeling recognizes that economic and financial systems operate as complex, interlinked structures where changes in one market influence outcomes in others. The paper reviews key theoretical foundations, including multi-market equilibrium theory, partial and general equilibrium models, two-sided and multi-sided market structures, agent-based modeling, and optimal control approaches. These models enable the analysis of competitive behavior, cross-market spillovers, trade flows, inventory coordination, and policy interventions within integrated market environments. Special emphasis is placed on dynamic and nonlinear modeling techniques that account for uncertainty, behavioral heterogeneity, and network effects. Mathematical formulations such as Walrasian equilibrium conditions, cross-elasticity demand systems, inter-regional trade equations, platform-based network utility functions, and optimal control structures are systematically discussed. The paper also explores the growing role of computational methods, including simulation, machine learning integration, and data-driven optimization, in enhancing the scalability and predictive accuracy of multi-market models. Despite the strong theoretical development, the paper identifies a major research gap in empirical validation and real-world calibration of these models. To address this limitation, future research directions emphasize large-scale data integration, dynamic adaptive modeling, interdisciplinary collaboration, and the inclusion of external shocks such as regulatory changes and geopolitical risks. The proposed modeling frameworks offer valuable decision-support tools for policymakers, firms, and researchers operating in volatile and interconnected market systems.

 

Keywords: Multimarket, Modeling, Equilibrium, Optimization, Networks, Competition, Dynamics

 


INTRODUCTION

Multiple markets refer to the interconnected systems where goods, services, or financial assets are exchanged across different sectors or regions simultaneously. Each market influences and depends on others through demand, supply, and pricing dynamics Davidson et al. (2009). Multiple markets are situations wherein more than one market coexists within the same economic or spatial context, often overlapping in terms of traded goods, agents, and practices Iyappan et al. (2024), Sinha et al. (2015). This multiplicity challenges the notion of a singular market concept and is shaped by various theories from disciplines such as economics, accounting, and marketing Sinha et al. (2015). Analysts and market participants may perceive markets differently, which has significant implications for regulatory, strategic, and empirical analysis Tokarev et al. (2019), Aittahar et al. (2023).

In contemporary market studies, the concept of multiple markets encompasses the existence of diverse market assemblages and configurations shaped by users, firms, and regulators Binti et al. (2025). These overlapping markets may perform distinct practices, utilize different theories, and exhibit unique norms, boundaries, and representations for exchange. (Market multiplicity thus requires researchers to account for multiple perspectives, reflecting the empirical reality of complex market environments Okoha And Grace (2025).

 

THEORIES ON MATHEMATICAL MODELING FOR MULTIPLE MARKETS

Mathematical modeling provides a robust framework for understanding and analyzing the complex interactions that occur in multiple interrelated markets. Unlike single-market models, which focus on supply and demand dynamics for a single good or service, multiple market models capture the nuanced dependencies and feedback mechanisms among various goods, sectors, or geographical regions Saydullayeva (2025), Chen and He (2024). These interdependencies arise because changes in one market often ripple across others, influencing prices, demand, supply, and ultimately, welfare outcomes in ways that are not always intuitive Wang (2024). The capacity to represent multiple markets mathematically thus equips economists, policymakers, and business leaders with essential insights required for strategic planning, policy design, and operational efficiency Kovalenko and Zlotov (2022).

Mathematical modeling for multiple markets represents a robust theoretical approach aimed at understanding the complexities and interactions that arise when distinct markets operate simultaneously within a dynamic environment Bergault (2021). Traditionally, markets are analyzed individually under the assumption that their behaviors are somewhat independent, but in reality, multiple markets interact, adapt, and evolve through shared agents, overlapping demand and supply conditions, and rapid changes driven by external factors such as policy and technology Burgstaller (2020).

 

CONCEPTUAL FOUNDATIONS

The starting point of mathematical modeling in multiple markets is the recognition that complex systems require a framework capable of addressing multiplicity, heterogeneity, and uncertainty Zhu et al. (2019). Theories such as agent-based modeling and econometric models have been employed to dissect market behaviors, enabling researchers to analyze cross-market effects, predict consumer choices, and simulate the repercussions of various policies—a crucial feature for capturing emergent phenomena that arise from interconnected markets. A notable example is the modeling of two-sided markets, where two different user groups interact over a common platform Golovanova and Lebedchenko (2018). Here, mathematical models can capture same-side and cross-side effects, including network externalities and behavioral asymmetries. These frameworks reveal how the equilibrium conditions of one market influence the dynamics of another, often mediated by external agents or engineered platforms Madykh et al. (2017).

 

INTERDISCIPLINARY APPLICATIONS

The application of mathematical models across multiple markets spans disciplines such as economics, marketing, computer science, and engineering. In consumer behavior analysis within dynamic markets, models—such as econometric regression, agent-based simulations, and machine learning algorithms—shed light on the determinants of demand, price sensitivity, and decision-making processes Drezner et al. (2016). This multi-method approach is vital for understanding and forecasting market trends, particularly when real-world data exhibits volatility, diverse agents, and feedback loops. In the recent studies emphasize the integration of data analytics with mathematical modeling techniques to address complex market phenomena Park and Kim (2014). For instance, machine learning approaches have become critical in analyzing large-scale market data and predicting future states, providing nuanced insights critical for business decision-making Gintis and Mandel (2012).

 

THEORETICAL IMPLICATIONS

At the theoretical level, mathematical modeling for multiple markets provides a lens through which inter-market dependencies, competitive forces, and strategic interactions are examined. By abstracting real-world conditions into formal models, researchers can test hypotheses regarding equilibrium, stability, and optimal policy outcomes. The use of affinity curves and rate parameters, as cited in two-sided market research, illustrates how mathematical abstractions serve as proxies for complex social and economic dynamics Beresnev and Suslov (2010). Additionally, the iterative process of model building spanning conceptualization, formalization, simulation, and empirical validation—serves as a bridge between theoretical constructs and actionable knowledge. The capacity to revise and refine models as new data emerges reflects the adaptability and sophistication of mathematical modeling in capturing evolving market realities Herrán et al. (2010).

Hence, mathematical modeling for multiple markets is a cornerstone of modern theoretical research, enabling scholars to scrutinize the mechanisms by which various markets co-exist and influence one another Mukherjee and Sahoo (2010). This modeling approach is integral for decision-making, strategic planning, and policy development within volatile and interlinked market systems. Its theoretical richness stems from the careful abstraction, simulation, and analytical rigor applied to dissecting multilayered market phenomena.

 

MATHEMATICAL MODELING FOR MULTIPLE MARKETS

Multi-Market Equilibrium Theory

One foundational theory in economics and finance regarding multiple markets is the concept of multi-market equilibrium, extensively grounded in Walrasian general equilibrium theory Nagasawa et al. (2009). According to this framework, markets for multiple goods or commodities simultaneously clear when supply equals demand in every market. This equilibrium is represented by a price vector , where m is the number of markets, satisfying the system:

 

                                                                                                                                                                                      (4.1)

 

Here:

Z(p) is the vector of excess demand functions for all markets, X(p) denotes aggregate demand as a function of prices,   denotes aggregate supply as a function of prices.

Walras' Law dictates that the value of excess demand weighted by prices is zero for all feasible prices:

 

                                                                                                                                                                                                        (4.2)

         

This ensures that if all but one market is in equilibrium, the remaining market must also clear. The existence of an equilibrium price vector   is guaranteed under certain continuity, monotonicity, and budget constraint assumptions Rabbani et al. (2008).

Dynamic adjustment processes describe convergence to equilibrium prices, for example, by iterative price updates proportional to excess demand:

                                     

 

                                                                                                                                                                        (4.3)

 

Where,  is an adjustment parameter and t is the iteration index.

 

Mathematical Models for Multi-Market Partial and General Equilibrium

                                                   

Beyond static general equilibrium, partial equilibrium models analyze multiple closely related markets where the rest are held constant or exogenous. These models organize supply-demand data and economic parameters to focus on specific sectors or regions. Multi-market partial equilibrium models extend single-market models by solving simultaneous nonlinear demand and supply equations:                                                              

 

                                                                                                                                                    (4.4)

 

Where:

 and  represent demand and supply in market i, respectively, Prices  affect demands and supplies across markets via cross elasticity.

Applications include agricultural policy impact assessments across multiple commodities and regions, trade policy analyses in multi-regional contexts, and inventory distribution networks involving several product lines. These models typically require fixed-point algorithms or nonlinear solvers due to complexity Kjellberg and Helgesson (2006).

General equilibrium models simultaneously balance all markets, incorporating households, firms, and governmental sectors across regions. The models are framed as large systems of nonlinear equations deriving from optimization conditions under restrictions:

                                                                                                    

                                                                                                                                                    (4.5)

 

Where, U_i is utility for agent i, M_i is income, and x_ji quantity of good j consumed by i. Price vectors p clear markets when aggregate demand and supply match in each market.

 

Multi-Market Advertising and Competition Models

 Murali et al., (2004) and successors developed mathematical models capturing competition in multiple markets with multiple firms by expressing net sales or revenues as functions of controllable variables like price and promotional effort Krishnan and Gupta (1967).

A generic multi-market profit function Π_i for firm i can be written as:

                                        

                                                                                                                                                             (4.6)

Where:

m = number of markets, q_ik = quantity sold by firm i in market k, function of market price p_k and marketing effort m_k, C_ik, F_ik are cost functions dependent on quantity and marketing.

Equilibrium conditions solve for optimal price and marketing allocations across markets, maximizing total profit subject to demand and competition constraints Roningen (1997)

 

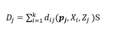
Multi-Region and Multi-Market Partial Equilibrium Modeling

Roningen et al. (1991) and expanded by Hertel (1997), multi-region partial equilibrium models analyze linked markets across geographic regions, capturing interdependencies in prices, trade flows, and policy impacts.

Formally, for markets  in regions :

                                                          

                                                                                                                                                       (4.7)

 

Where, T_ir denotes trade variables or tariffs, cross-region and inter-market effects influence demand-supply balance. These models incorporate transportation costs, tariffs, quotas, and trade policies Merton (1994).

The system solves for price vectors {p_ir} that clear all regional markets simultaneously, often via computational general equilibrium (CGE) frameworks or specialized trade policy simulation models (SWOPSIM).

 

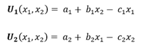
Two-Sided and Multi-Sided Market Models

Two-sided (or multi-sided) markets involve multiple user groups interacting via platform intermediaries—such as buyers and sellers on e-commerce platforms—where cross-side network externalities are critical Roningen et al. (1991).  They propose mathematical models where utilities depend on the size and behavior of the opposing side:

                                                                                           

                                                                                                                                                                  (4.8)

 

Here, , represent participation levels on each side, and bi coefficients measure cross-side effects. The equilibrium occurs at   solving the coupled system reflecting consumer and supplier behaviors.

These models analyze platform pricing, adoption dynamics, and stability of equilibrium under network externalities and strategic firm behavior.

 

Optimal Control Models in Multi-Market Contexts

Dynamic multi-market control theories model optimal allocation of resources over time across multiple markets, leveraging control theory.

Develop continuous-time optimal control models Krishnan and Gupta (1967):

                                                                  

                                                                                                                                                 (4.9)

 

Subject to dynamic constraints:

 

                                                                                                                                                        (4.10)

 

Where  is the state (e.g., inventory or market share) in market  control variable (e.g., advertising spend), R_i revenue,   cost, and   discount rate. Solutions involve Pontryagin’s Maximum Principle or Hamilton-Jacobi-Bellman equations, allowing temporal optimization across markets simultaneously.

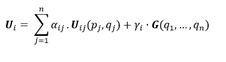
1)     Agent-based Model Formulation

The agent-based mathematical model draws from earlier frameworks in two-sided markets Arrow and Debreu (1954) and multi-market competition theory (Burgstaller, J., 2020). Let the set of markets be   with agents indexed by i. Each agent i maximizes utility across all interacting markets:

 

                                                                                                                                                              (4.11)

 

Where, α_ij represents preference weights and  captures inter-market synergy effects Aasgård (2018). Demand and supply are represented as:

                                                                                                          

                                                                                                                                                             (4.12)

                                                                                   

                                                                                                        

Market equilibrium for each M_j:

                                                                                                             

                                                                                                                                                                     (4.13)

 

Where,  captures the cross-market demand spillover Saadatmand et al. (2018).

 

 

 

CONCLUSION AND SUGGESTIONS

This paper has provided a comprehensive exploration of mathematical modeling for multiple markets, synthesizing theoretical frameworks, model structures, and empirical challenges across diverse industries. The reviewed studies collectively contribute valuable insights into competitive market strategies, resource allocation, inventory management, and decision-making optimization using a variety of mathematical approaches. These range from bi-level programming in competitive scenarios to agent-based models capturing multi-market interactions and from spatial equilibrium models to hybrid machine learning frameworks. Despite this rich methodological diversity, a persistent limitation across the literature is the underrepresentation of empirical validation. Many models remain theoretical constructs or are tested within constrained experimental conditions, limiting their pragmatic applicability to dynamic, complex real-world markets subject to volatility, regulatory shifts, and technological disruptions.

The paper underscored the importance of integrating economic and behavioral heterogeneity in modeling approaches to capture real market nuances better. It highlighted the necessity for models to transcend static assumptions by accommodating external shocks, evolving regulatory environments, and cross-market spillovers. Additionally, the advancement of computational methods, including stochastic programming and AI-driven learning algorithms, was recognized as imperative for improving model accuracy and scalability in high-dimensional market systems. However, the practical implementation of these innovations demands extensive empirical work, including large-scale data collection, industry-specific case studies, and longitudinal analyses that reflect market evolution over time.

Suggestions for future research emphasize a multi-pronged approach. First, empirical data integration should be prioritized to test and calibrate models rigorously against real-world market behaviors, thus enhancing predictive validity. Second, the development of dynamic models capable of adapting to market fluctuations and policy changes would improve robustness and usability for practitioners and policymakers. Third, interdisciplinary collaboration bridging economics, operations research, computer science, and behavioral sciences could foster more holistic models that account for market complexity comprehensively. Finally, attention to the responsiveness of models under external economic disruptions, such as geopolitical risks or abrupt regulatory reforms, is critical for ensuring resilience in diverse industrial applications.

  

ACKNOWLEDGMENTS

None.

 

REFERENCES

Aasgård, E. K. (2018). Coordinated Hydropower Bidding in the Day-Ahead and Balancing Market. In The International Workshop on Hydro Scheduling in Competitive Markets (16–25). Springer International Publishing.

Aittahar, S., de Villena, M. M., Derval, G., Castronovo, M., Boukas, I., Gemine, Q., and Ernst, D. (2023). Optimal Control of Renewable Energy Communities with Controllable Assets. Frontiers in Energy Research, 11, 879041.

Arrow, K. J., and Debreu, G. (1954). Existence of an Equilibrium for a competitive Economy. Econometrica, 22(3), 265–290.

Beresnev, V. L., and Suslov, V. I. (2010). A Mathematical Model of Market Competition. Journal of Applied and Industrial Mathematics, 4(2), 147–157.

Bergault, P. (2021). Mathematical Modeling for Market Making and Related Problems of Financial Liquidity: A Song of Assets and Traders (Doctoral Dissertation, Université Paris 1–Panthéon-Sorbonne).

Binti Mat Dawi, N., Kumar Singh, A., and Namazi, H. (2025). Application of Mathematical Modeling in Finance: A Review. Fractals, 2530011.

Burgstaller, J. (2020). Competition in Local Banking Markets and the Influence of Rival Proximity. Journal of Applied Finance & Banking, 10(2), 193–221.

Chen, N., and He, W. (2024). Explore the Specific Applications of Mathematical Models in Finance. Journal of Modern Business and Economics, 1(1).

Davidson, M. R., Dogadushkina, Y. V., Kreines, E. M., Novikova, N. M., Seleznev, A. V., Udal’tsov, Y. A., and Shiryaeva, L. V. (2009). Mathematical Model of Power System Management in Conditions of a Competitive Wholesale Electric Power (capacity) Market in Russia. Journal of Computer and Systems Sciences International, 48(2), 243–253.

Drezner, T., Drezner, Z., and Kalczynski, P. J. (2016). The Multiple Markets Competitive Location Problem. Kybernetes, 45(6), 854–865.

Gintis, H., and Mandel, A. (2012). The Dynamics of Walrasian General Equilibrium: Theory and Application. Complexity Economics.

Golovanova, M., and Lebedchenko, V. (2018). Using Economic and Mathematical Models for Determining the Market Capacity. Сучасний Стан Наукових Досліджень та технологій в промисловості, 1(3), 71–81.

Herrán, A., de la Cruz, J. M., and De Andrés, B. (2010). A Mathematical Model for Planning Transportation of Multiple Petroleum Products in a Multi-Pipeline system. Computers & Chemical Engineering, 34(3), 401–413.

Iyappan, K., Kumar, S., Kumar, P., Parkash, R., Dwivedi, V. K., and Mishra, M. K. (2024). Mathematical Models for Predicting Consumer Behavior in Dynamic Market Environments. Journal of Computational Analysis & Applications, 33*(8).

Kjellberg, H., and Helgesson, C. F. (2006). Multiple Versions of Markets: Multiplicity and Performativity in Market Practice. Industrial Marketing Management, 35(7), 839–851.

Kovalenko, A., and Zlotov, A. (2022). Mathematical Modeling of a Multi-Product Dispersed Market: Numerical Methods for Solving Problems. Norwegian Journal of Development of the International Science, 77(3), 3–13.

Krishnan, K. S., and Gupta, S. K. (1967). Mathematical Model for a Duopolistic Market. Management Science, 13(7), 568–583.

Madykh, A. A., Okhten, O. O., and Dasiv, A. F. (2017). Analysis of the world experience of Economic and Mathematical Modeling of Smart Enterprises. Economy of Industry, 4(80), 19–46.

Merton, R. C. (1994). Influence of Mathematical Models in Finance on Practice: Past, Present and Future. Philosophical Transactions of the Royal Society of London. Series A: Physical and Engineering Sciences, 347(1684), 451–463.

Mukherjee, K., and Sahoo, G. (2010). Development of Mathematical Model for Market-Oriented Cloud Computing. International Journal of Computer Applications, 9(11), 19–24.

Nagasawa, H., Kotani, M., and Morizawa, K. (2009). Optimal Cooperative Harvesting Patterns of Agricultural Fresh Products in Case of Multiple Farmers and Multiple Markets Under Periodical Flowering. Journal of the Operations Research Society of Japan, 52(4), 417–432.

Okoha, O. F., And Grace, I. (2025). Mathematical modeling and Machine Learning for economic forecasting: A Hybrid Approach to Predicting Market Trends. Acta Electronica Malaysia, 1(1), 7–15.

Park, S. I., and Kim, J. S. (2014). A Mathematical Model for a Capacity Reservation Contract. Applied Mathematical Modelling, 38*(5–6), 1866–1880.

Rabbani, M., Tavakkoli-Moghaddam, R., and Parsa, H. (2008). A New Mathematical Model for a Distribution Network Problem in a Multi-Product Supply Chain System: A Real-Case Study. International Journal of Manufacturing Technology and Management, 16(1–3), 1–11.

Roningen, V. H., Hertel, T. W., and Ivanic, M. (1991). The Static World Policy Simulation Model (SWOPSIM).

Roningen, V. O. (1997). Multi-Market, Multi-Region Partial Equilibrium Modeling. In Applied Methods for Trade Policy Analysis: A Handbook (231–257).

Saadatmand, M., Dabab, M., and Weber, C. (2018). Dynamics of Competition and Strategy: A Literature Review of Strategic Management Models and Frameworks. In 2018 Portland International Conference on Management of Engineering and Technology (PICMET) (1–14). IEEE.

Saydullayeva, R. (2025). Optimizing Economic Insights: The Impact of Economic Mathematical Methods on Financial Analysis and Profitability in Complex Markets. Conference of Advance Science & Emerging Technologies, 1(2), 1–10.

Sinha, K., Colombo, E. F., Shougarian, N. R., and De Weck, O. L. (2015). A Simplified Mathematical Model for Two-Sided Market Systems with an Intervening Engineered Platform. In International Design Engineering Technical Conferences and Computers and Information in Engineering Conference (Vol. 57076,  V02AT03A035). ASME.

Sinha, K., Colombo, E. F., Shougarian, N. R., and de Weck, O. L. (2015). A Simplified Mathematical Model for Two-Sided Markets with an Intervening Engineered Platform. 41st Design Automation Conference.

Tokarev, K. E., Rogachev, A. F., Pleschenko, T. V., Rudenko, A. Yu., and Kuzmin, V. A. (2019). Economic and Mathematical Modelling of Regional Market of Grain crops. IOP Conference Series: Earth and Environmental Science, 341, 012212.

Wang, Y. (2024). Application and Challenges of Mathematical Modeling in Financial Market Risk Assessment. In Recent Advancements in Computational Finance and Business Analytics (CFBA 2024) (42, 86–95). Learning and Analytics in Intelligent Systems.

Zhu, F., Li, X., Valavi, E., and Iansiti, M. (2019). Network interconnectivity and Entry into Platform Markets. Harvard Business School Technology & Operations Management Unit Working Paper, 19(062), 19–06.

Creative Commons Licence This work is licensed under a: Creative Commons Attribution 4.0 International License

© Granthaalayah 2014-2026. All Rights Reserved.