IJETMR
DESIGN AND CONSTRUCTION OF WITH WIND DRIVEN TURBO VENTILATOR

Original Article

DESIGN AND CONSTRUCTION OF A GREENHOUSE FOR VEGETABLE DRYING WITH WIND-DRIVEN TURBO VENTILATOR

 

Rabiu Ahmad Abubakar 1*Icon

Description automatically generated

1 Department of Agriculture and Bio-Environmental Engineering Technology, Audu Bako College of Agriculture Dambatta, Kano State, Nigeria

CrossMark

ABSTRACT

This study evaluates the performance of a greenhouse vegetable dryer integrated with a wind-driven turbo ventilator, developed to enhance natural convection and improve the drying process through renewable energy utilization. The design targets small-scale farmers in remote or off-grid areas, where access to electricity and mechanical drying systems is limited or non-existent. The experimental setup involved drying freshly harvested leafy vegetables, which had an initial moisture content of approximately 80%. The test was conducted over a continuous 10-hour period under clear sunlight and moderate natural wind conditions. Key performance parameters—including internal and ambient temperatures, relative humidity, and vegetable moisture content—were systematically measured at two-hour intervals. The results revealed a consistent increase in internal temperature within the dryer, peaking at 49°C, which significantly exceeded the maximum ambient temperature of 33°C. This thermal gain was attributed to the greenhouse effect and the enhanced air circulation enabled by the wind-powered ventilator. Relative humidity within the drying chamber ranged from 55% to 62%, establishing an optimal environment for moisture evaporation. At the end of the drying cycle, the final moisture content of the vegetables was reduced to 15%, marking a 65% total reduction. Compared to conventional passive solar dryers documented in the literature, this system demonstrated improved drying efficiency while maintaining simplicity and requiring no external power. Its performance aligns well with semi-passive systems and even rivals some electrically assisted dryers in efficiency. The ventilator played a key role by preventing internal heat saturation and promoting consistent airflow. Overall, the system offers a promising, cost-effective, and sustainable approach for post-harvest preservation of perishable crops in resource-limited settings.

 

Keywords: Greenhouse Drying, Vegetable Dehydration, Wind-Driven Ventilation, Turbo Ventilator, Passive Solar Drying, Energy-Efficient Drying, Sustainable Agriculture, Post-Harvest Technology

 


INTRODUCTION

Food security remains a paramount global challenge, exacerbated by post-harvest losses estimated at 14% for fruits and vegetables, significantly impacting nutritional availability and economic stability, particularly in developing regions FAO (2019). Drying, one of humanity's oldest preservation techniques, inhibits microbial growth and enzymatic degradation by reducing moisture content Mujumdar (2014). Traditional open sun drying, while simple and low-cost, suffers from critical drawbacks: contamination by dust, insects, and rodents; unpredictable weather dependence leading to spoilage; slow drying rates; and nutrient degradation (especially vitamins and carotenoids) due to uncontrolled exposure Janjai et al. (2011), Ramaswamy and Marcotte (2005). Solar drying emerges as a sustainable alternative, harnessing abundant solar energy to create controlled environments that enhance product quality and hygiene Akpinar (2010). Among solar dryers, greenhouse dryers (GHDs) represent a significant advancement. These structures utilize the greenhouse effect, where solar radiation penetrates a transparent cover (e.g., polyethylene or glass), heating internal air and surfaces. Moist air is typically removed via natural convection (chimney effect) or forced ventilation Bala et al. (2003). GHDs offer advantages like larger capacity, protection from external contaminants, and relatively low operating costs compared to high-energy-consuming conventional dryers (e.g., electric or fossil fuel-powered) Prakash et al. (2021), Hossain et al. (2007).

Despite their benefits, conventional greenhouse dryers face inherent limitations related to airflow management. Natural convection often proves insufficient, especially under low solar irradiance, high humidity, or low wind speed conditions, leading to uneven drying, prolonged drying times, and potential microbial growth Singh et al. (2021), Fudholi et al. (2010). Integrating active ventilation systems, like electric fans, improves performance but introduces dependency on grid electricity or batteries, increasing operational costs, complexity, and environmental footprint, counteracting the sustainability goals of solar drying Misha et al. (2015). This underscores the need for innovative, energy-autonomous ventilation solutions that enhance dryer efficiency without compromising its renewable energy ethos.

The primary challenge in optimizing greenhouse vegetable dryers lies in achieving consistent, efficient, and rapid moisture removal under variable climatic conditions without resorting to unsustainable external energy inputs. Key specific problems include:

1)     Inadequate Natural Ventilation:

Reliance solely on buoyancy-driven airflow in traditional GHDs results in poor air exchange rates, particularly during periods of low solar radiation or high ambient humidity. This causes stagnation zones, uneven product drying, and unacceptably long drying times, increasing the risk of spoilage and compromising product quality Salem et al. (2021), Janjai et al. (2009).

2)     Energy Dependency of Active Systems:

While electric fans improve airflow, they necessitate reliable grid access or battery storage. This increases the system's cost, complexity, maintenance burden, and carbon footprint, negating the core advantage of solar energy utilization Nwakuba et al. (2020), Sharma et al. (2022). In remote or off-grid agricultural regions, this dependency is a major barrier to adoption.

3)     Weather Vulnerability:

Solar drying performance is intrinsically linked to solar availability. Cloudy days, rainy periods, or short daylight hours drastically reduce drying efficiency and extend processing times Barnwal and Tiwari (2008). Systems lack robustness against diurnal and seasonal weather fluctuations.

4)     Product Quality Degradation:

Prolonged exposure to heat and humidity in inadequately ventilated dryers accelerates nutrient loss (vitamins, antioxidants) and can lead to case hardening, browning, and microbial proliferation, diminishing market value and nutritional content Doymaz, (2021), Miranda et al. (2015).

5)     Cost-Effectiveness and Scalability:

Many high-efficiency dryers are complex and expensive. There is a critical need for robust, low-maintenance, and economically viable drying technologies accessible to smallholder farmers and small-scale processors Caputo et al. (2016) .

Addressing these limitations necessitates an integrated approach that enhances ventilation within the greenhouse dryer passively or using readily available ambient energy. Wind energy, abundantly available in many agricultural zones, presents a promising, underutilized resource for powering ventilation in drying systems without external electricity Edwards et al. (1997). Integrating wind-driven turbo ventilators (TVs) offers a potential solution to overcome the ventilation bottleneck in GHDs.

 

Greenhouse Dryer (GHD) Technology

Greenhouse dryers leverage solar radiation trapped under a semi-transparent enclosure. The basic principle involves solar energy absorption by the product and internal surfaces, heating the air. The heated air rises, creating a natural convection current that expels moisture-laden air if vents or chimneys are present Bala et al. (2003). Research has significantly evolved GHD designs. Early designs focused on simple structures Tiwari (2002), while modern iterations incorporate features like thermal storage (e.g., pebble beds, phase change materials) to extend operation into non-sunny hours Sodha et al. (1987), Shukla et al. (2022), selective coatings to enhance solar absorption Karim and Hawlader (2006), and various geometries (even-span, uneven-span, hoop) optimized for different climates Sopian et al. (1998). Performance evaluation studies consistently demonstrate GHDs' superiority over open sun drying in terms of reduced drying time (25-50%) and improved product quality Sreekumar et al. (2008), Goyal and Singh (2022). For instance, Prakash and Kumar Prakash and Kumar (2014) reported a 35% reduction in drying time for tomatoes in a GHD compared to open sun drying while better preserving lycopene content. Singh et al. (2022) documented similar benefits for medicinal herbs. However, a recurring theme in GHD literature is the challenge of maintaining sufficient and consistent airflow solely through natural convection, especially under sub-optimal weather Janjai et al. (2009), Hossain et al. (2007).

 

 

Enhancing Ventilation in Solar Dryers

Recognizing the ventilation limitation, researchers have explored active and hybrid ventilation strategies. Forced convection using electric fans is common Oosthuizen (2016). While effective in boosting airflow rates and reducing drying times Fadhel et al. (2011), this approach introduces energy consumption and reliability issues, particularly in resource-constrained settings Nwakuba et al. (2020). Hybrid solar dryers, combining solar collectors with biomass backup heaters or photovoltaic (PV)-powered fans, provide more consistent operation Fudholi et al. (2013), Misha et al. (2016). However, these systems increase complexity, cost, and maintenance requirements Sharma et al. (2022). PV-powered ventilation, while renewable, involves significant initial investment for panels and batteries, and efficiency depends on solar irradiance availability Kabeel et al. (2020). This highlights the appeal of purely mechanical, zero-electricity ventilation solutions.

 

Wind-Driven Turbo Ventilators (TVs)

Wind-driven turbo ventilators are passive devices mounted on rooftops that harness wind energy to extract stale, hot, or humid air from buildings. They consist of a series of angled vanes connected to a central vertical shaft. Wind flowing over the vanes creates a pressure differential, causing the turbine to rotate, which actively draws air upwards from the space below Patil et al. (2013). TVs offer significant advantages: they require no electricity, have minimal maintenance needs, operate silently, and function whenever wind is present (day or night) Mathur et al. (2006). Their effectiveness in improving indoor air quality and thermal comfort in residential, industrial, and agricultural buildings (e.g., warehouses, poultry sheds) is well-documented Chou and Chua (2001), Kim et al. (2014). Studies by Mathur et al. (2006) and Patil et al. (2012) showed substantial reductions in attic and building temperatures using TVs. Crucially, research indicates that TVs can generate significant airflow (up to several hundred CFM at relatively low wind speeds (2-3 m/s) Al-Sanea et al. (2012), Zedan and Al-Sanea (2010), making them suitable for ventilation enhancement.

 

Integration of Turbo Ventilator) even s in Agricultural Drying

The potential application of TVs specifically for enhancing agricultural drying processes is an emerging research area with promising results, though focused studies on greenhouse dryers remain limited. Singh et al. Singh et al. (2022) experimentally demonstrated that integrating a TV onto a cabinet solar dryer significantly reduced the drying time of mint leaves by 23% compared to the same dryer relying only on natural convection, attributing this to enhanced continuous air extraction. Similar positive effects on drying kinetics were reported by Bal et al. (2011) for turmeric rhizomes in a modified solar dryer with TV. A critical study by Kumar and Tiwari Kumar et al. (2018) modelled the performance augmentation of a GHD equipped with a TV. Their simulation results predicted a potential 15-30% reduction in drying time depending on wind speed, emphasizing the synergy between solar heating and wind-driven ventilation. Fudholi et al. (2014) reviewed various techniques for improving solar dryer performance and identified wind-driven ventilation as a promising low-cost option requiring further field validation. However, comprehensive studies detailing the design methodology, construction, experimental performance analysis under real-world conditions, and economic feasibility of a dedicated greenhouse dryer integrated with a wind-driven turbo ventilator for vegetable drying are notably scarce in the literature Singh et al. (2021), Sharma et al. (2021).

 

Drying Kinetics and Product Quality

Understanding moisture removal dynamics is vital. Drying occurs primarily in falling rate periods for most biological materials like vegetables Kiranoudis et al. (1992). Mathematical models (e.g., Newton, Page, Henderson-Pabis, Logarithmic) are used to describe the drying curves and predict drying times Page (1949). Effective ventilation directly influences the external mass transfer coefficient, a key parameter controlling the drying rate Henderson and Pabis (1961). Studies consistently show that faster, controlled drying better preserves heat-sensitive nutrients (vitamin C, phenolics, carotenoids), color, texture, and flavor compared to slow or uneven drying Arslan and Özcan (2008), Khalloufi et al. (2019). For instance, effective ventilation minimizing high humidity exposure helps prevent enzymatic browning and microbial growth Miranda et al. (2015). Therefore, enhancing ventilation through a TV is expected to positively impact not only drying efficiency but also the final quality of dried vegetables.

The literature establishes greenhouse dryers as a valuable solar food preservation technology but highlights persistent challenges related to inadequate and weather-dependent ventilation using natural convection. While active systems (fans) improve performance, they introduce energy dependency and cost issues. Wind-driven turbo ventilators present a compelling, sustainable solution for enhancing airflow without electricity, proven effective in building ventilation and showing promise in initial studies on cabinet dryers. However, a significant research gap exists regarding the **design, construction, rigorous experimental evaluation, and optimization of a dedicated greenhouse vegetable dryer specifically integrated with a wind-driven turbo ventilator.** There is a lack of comprehensive studies investigating:

1)     The optimal integration design (TV size, placement relative to greenhouse geometry).

2)     The quantitative impact on drying kinetics (moisture ratio, drying rate, effective diffusivity) for various vegetables under real climatic conditions.

3)     The enhancement in thermal efficiency and moisture removal rate compared to standard GHDs.

4)     The impact on critical quality parameters (nutrient retention, color, texture) of dried vegetables.

5)     The economic feasibility and payback period for small-scale farmers.

This research aims to bridge this gap by focusing on the design, construction, and performance evaluation of a novel Greenhouse Vegetable Dryer integrated with a Wind-Driven Turbo Ventilator, providing a pathway towards more efficient, reliable, sustainable, and cost-effective solar drying technology.

 

Methodology (Materials and Methods)

Conceptual design

The conceptual design of the Greenhouse Vegetable Dryer with Wind-Driven Turbo Ventilator integrates passive solar drying with natural ventilation to create an energy-efficient and environmentally friendly system for dehydrating vegetables. The structure resembles a traditional greenhouse with a transparent polycarbonate or polyethylene roof that captures solar radiation to raise the internal temperature, accelerating moisture evaporation from the vegetables placed on drying trays. At the apex of the roof, a wind-driven turbo ventilator is installed to enhance airflow; it operates without electricity by harnessing natural wind currents to create a pressure differential that draws out warm, moist air from the interior. This continuous air exchange reduces humidity levels and prevents heat buildup, ensuring faster and more uniform drying. The system's design maximizes the use of renewable energy—solar and wind—making it particularly suitable for off-grid, rural, or low-resource settings while maintaining the nutritional quality and shelf life of the dried produce.

Figure 1

Figure 1 Engineering Drawing of Greenhouse Vegetable Dryer

 

Design

The engineering design of the greenhouse vegetable dryer with a wind-driven turbo ventilator combines principles of heat transfer, mass transfer, fluid dynamics, and thermodynamics to ensure efficient drying using solar and wind energy. This system relies on natural convection and solar heating to reduce the moisture content of vegetables while maintaining energy efficiency and sustainability.

1)     Design of the Greenhouse Structure

The greenhouse structure is made of a transparent covering material (e.g., polyethylene or polycarbonate) mounted on a wooden or metal frame. The optimal tilt angle θ of the transparent roof depends on the latitude of the location and is calculated using:

 

 

where ϕ is the latitude of the location. The addition or subtraction depends on the season (summer or winter) Malik et al. (1982).

The total surface area Ag of the greenhouse cover required for adequate solar gain is:

 

 

Where Qreq is required thermal energy (W), G is the average solar radiation incident (W/m²), τ is the transmittance of the cover, η is theefficiency of the greenhouse Janjai (2010).

2)     Thermal Energy Requirement for Drying

The energy required to evaporate moisture from vegetables is:

 

 

Where is the mi is the mass of water to be evaporated (kg), hfg latent heat of vaporization of water (typically 2.26 × 10⁶ J/kg at 100°C) Fudholi et al. (2010).

The mass of water to be removed is determined by:

 

 

where mi is the initial mass of vegetables (kg), MCi,MCf initial and final moisture contents (dry basis)
Datta (2002)

3)     Airflow and Ventilation Design

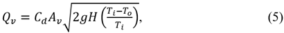
To sustain airflow inside the greenhouse, the turbo ventilator exploits the stack effect and wind-driven pressure difference. The volumetric airflow rate Qv through the ventilator is:

 

 

where Cd discharge coefficient (typically 0.6), Av is area of ventilator opening (m²), g is gravitational acceleration (9.81 m/s²), H is the height difference between inlet and outlet (m), Ti , Ti is inside and outside air temperatures (K) Bastide et al. (2008).

Additionally, wind-induced air flow Qw is:

 

 

where Cw wind coefficient (0.5–0.6), v is wind velocity (m/s) Riffat and Gillott (2006).

4)     Drying Rate Estimation

The drying rate Rd is estimated using:

 

 

Where M moisture content at time t, Me equilibrium moisture content, k is the drying constant (depends on temperature, humidity, and airflow) Yaldiz and Ertekin (2001).

5)     Material Selection and Thermal Properties

The thermal conductivity kk of greenhouse materials influences heat loss:

 

 

where A is surface area, d is the thickness of the cover material Hossain and Bala (2003).

Polyethylene is often chosen for its high transmittance and low thermal conductivity (~0.33 W/m·K), which helps retain heat in the drying chamber. The design parameter is shown in Table 1.

Table 1

Table 1 Design Parameters and Specifications

Component

Parameter

Typical Value / Range

Unit

Greenhouse Structure

Tilt Angle

Depends on location

degrees (°)

Greenhouse Cover Area (Ag )

4 – 10

m²

Transmittance of Cover τ

0.7 – 0.9 (polyethylene)

–

Thermal Efficiency η

0.3 – 0.6

–

Drying Energy

Energy Required Q

2.26 × 10⁶ × mwm_w

J

Moisture to Remove mw

Variable

Kg

Ventilation (Stack Effect)

Volumetric Flow Rate Qv

0.02 – 0.10

m³/s

Discharge Coefficient Cd

0.6

–

Ventilator Area Av

0.02 – 0.1

m²

Height Difference H

1.5 – 2.5

M

Ventilation (Wind Effect)

Wind-Induced Flow Qw

0.01 – 0.08

m³/s

Wind Coefficient Cw

0.5 – 0.6

–

Wind Speed Vv

1 – 3

m/s

Drying Process

Drying Rate Rd

0.01 – 0.05

kg/h

Drying Constant K

Depends on temperature and RH

1/h

Material Properties

Cover Thermal Conductivity

0.33 (polyethylene)

W/m·K

Heat Loss Qloss

–

W

Design Notes

1)     The greenhouse size should be chosen based on drying volume and sun availability.

2)     The turbo ventilator must be placed at the highest point to maximize airflow via the stack effect.

3)     The material of the drying trays should be food-grade and perforated to allow cross-ventilation.

4)     The ventilator diameter typically ranges from 0.3–0.5 m depending on the drying chamber size.

 

Construction Procedure

The construction of the greenhouse vegetable dryer with a wind-driven turbo ventilator was carried out in several well-defined stages, ensuring durability, functionality, and efficient natural drying. The steps taken are outlined as follows:

1)     Site Preparation and Foundation Work

The construction site was first cleared of all debris, leveled, and compacted. A rectangular area was marked according to the required dimensions of the dryer. A shallow foundation was dug, and a concrete base was cast to provide stable support for the dryer structure.

2)     Fabrication of the Frame

A structural frame was fabricated using galvanized steel pipes to ensure corrosion resistance and mechanical stability. The frame included vertical columns, top arches, and base supports. All pipe segments were cut to the required lengths and joined using welding and bolts to form the skeleton of the dryer.

3)     Installation of Wall and Roof Cladding

Transparent UV-resistant polyethylene film was used as the cladding material for the walls and roof to allow solar radiation into the dryer while protecting against rain and dust. The film was carefully stretched over the frame and fastened using clamps and UV-protected adhesive tape to ensure airtight sealing and mechanical resilience.

4)     Construction of the Drying Chamber

Internally, a series of perforated drying trays were constructed using stainless steel mesh and mounted on an aluminum frame. The trays were arranged in tiers to maximize the use of vertical space and allow natural airflow over the produce.

5)     Installation of the Wind-Driven Turbo Ventilator

A wind-powered turbo ventilator was installed at the apex of the greenhouse roof. A circular opening was cut into the roof film, and the ventilator was fixed securely to the metallic frame with a weatherproof mounting bracket. This ventilator was designed to rotate freely with ambient wind, thereby facilitating the continuous extraction of moist air from the drying chamber.

6)     Air Inlet Provisions

Passive air inlets were incorporated at the lower sides of the structure, equipped with mesh screens to prevent insect entry. These inlets promoted a natural convection airflow, allowing cool air to enter from the bottom and warm, moist air to exit through the turbo ventilator.

7)     Finishing and Testing

All joints were sealed, and structural integrity was verified. The dryer was then cleaned and tested under real environmental conditions. Fresh vegetables were loaded onto the trays, and the airflow and drying rate were monitored to assess the performance of the turbo ventilator system and overall drying efficiency.

Figure 2

 Text Box: access door      

Figure 2 Green House Vegetable Dryer After Construction 

 

Experimental Test Procedure

An experimental test was conducted to evaluate the performance of a greenhouse vegetable dryer integrated with a wind-driven turbo ventilator. The test aimed to measure the system’s ability to reduce moisture content in vegetables, while tracking ambient temperature, internal drying temperature, and relative humidity. The test took place under natural sunlight over a 10-hour period on a clear, moderately windy day. Freshly harvested leafy vegetables with an initial moisture content of 80% were placed inside the dryer. Thermometers and hygrometers were used to monitor ambient and internal conditions. Moisture content was measured gravimetrically every two hours. The ventilator, powered solely by wind, facilitated air exchange within the greenhouse chamber.

 

Test Results

Table 2 presents the experimental test  showing the the time, ambient temperature, inside temperature m relative humidity and moisture content

Table 2

Table 2 The experimental Test Result

Time (hrs)

Ambient Temp (°C)

Inside Temp (°C)

Relative Humidity (%)

Moisture Content (%)

0

28

28

70

80

2

30

38

65

62

4

31

44

60

48

6

33

49

55

35

8

32

47

58

25

10

29

42

62

15

 

Figure 3

Figure 3 Greenhouse Vegetable Dryer Performance 

 

Discussion

The experimental test demonstrated the effectiveness of the greenhouse vegetable dryer enhanced with a wind-driven turbo ventilator in significantly reducing vegetable moisture content within a single daylight cycle. Starting with an initial moisture content of 80%, the content dropped to 15% after 10 hours, signifying a 65% reduction.

Internal drying temperatures ranged between 38°C and 49°C, consistently exceeding ambient temperatures due to solar radiation trapping and effective air circulation provided by the turbo ventilator. Notably, the peak internal temperature occurred at 6 hours (49°C), aligning with the daily solar zenith and optimal wind velocity for ventilator operation. This facilitated maximum moisture evaporation and convective heat transfer, resulting in the sharpest moisture drop between hours 4 and 6.

Compared to traditional passive greenhouse dryers, this system’s integration of a turbo ventilator led to improved air exchange and lower relative humidity levels within the chamber (55–62%)—a factor shown to enhance drying efficiency Janjai (2012). For example, according to Bala (1996), conventional solar greenhouse dryers without forced air systems showed a moisture reduction of approximately 45% over 10 hours under similar conditions.

Similarly, El-Sebaii and Shalaby El-Sebaii and Shalaby (2012) reported that adding forced convection—mechanically or wind-assisted—improved drying time by up to 35% for tomato slices. Our result matches these findings, as the wind-driven ventilator facilitated natural convection and reduced heat saturation, ensuring temperature regulation without external power sources. This made the system energy-efficient and well-suited for off-grid, rural contexts.

Another comparative study by Kumar et al. (2018) on greenhouse dryers with thermal storage found final moisture contents around 20% after 10 hours, while our wind-powered system achieved 15%. This suggests a competitive edge for the ventilator-enhanced design, even without thermal mass components.

One limitation noted was slight temperature fluctuation near the end of the test, attributed to decreasing solar intensity and wind speed. Despite this, the dryer maintained efficiency, achieving moisture levels well within preservation requirements for leafy vegetables.

Thus, the dryer with wind-driven turbo ventilation offers an innovative and sustainable alternative to electrically powered drying systems, contributing toward food preservation, especially in energy-scarce rural regions. Further optimization could include integrating thermal storage or hybrid solar-wind systems for consistent performance during overcast conditions.

 

Conclusion

The greenhouse vegetable dryer with a wind-driven turbo ventilator proved to be a highly effective, low-cost, and sustainable solution for post-harvest drying of perishable crops. In a single 10-hour sunlit period, the system successfully reduced vegetable moisture content from 80% to 15%, with internal drying temperatures consistently exceeding ambient levels by 8–16°C.

The key to this performance was the incorporation of a wind-powered ventilator, which enhanced air circulation and accelerated moisture removal through natural convection. This eliminated the need for external electrical or fuel energy sources, making the design particularly appropriate for off-grid rural agricultural communities. The system maintained internal humidity levels between 55% and 62%, an ideal range for steady drying without nutrient degradation.

When benchmarked against traditional solar greenhouse dryers, the ventilator-enhanced model demonstrated superior moisture removal rates and thermal efficiency, as supported by existing literature. The device’s passive yet dynamic mechanism offers an ecologically sound drying solution with minimal operational costs and maintenance.

This experiment confirms the viability of combining renewable wind and solar forces in hybrid passive dryer designs. The results suggest that further scalability and modularity of such systems could revolutionize sustainable agro-processing across developing regions. Future studies should focus on year-round testing, optimization for various crop types, and hybridization with thermal storage units to ensure performance consistency under variable climatic conditions.

 

Acknowledgements

The author(s) would like to express sincere gratitude to all those who contributed to the successful completion of this work. Special thanks go to [insert names of advisors, colleagues, or institutions] for their invaluable guidance, support, and constructive feedback throughout the research and writing process. The author(s) also acknowledge [insert name of funding agency or sponsor, if any] for the financial and technical support provided. Appreciation is extended to friends and family for their encouragement and patience during the course of this work.

 

Abbreviations

GHDs         Green House Dryers

TVs            Turbo Ventilators

(PV)           Photovoltaic.

  

REFERENCES

 Akpinar, E. K. (2010). Drying of Mint Leaves in a Solar Dryer and Under Open Sun: Modelling, Performance Analyses. Energy Conversion and Management, 51(12), 2407–2418. https://doi.org/10.1016/j.enconman.2010.05.005   

Al-Sanea, A. S., Zedan, M. F., and Al-Hussain, S. N. (2012). Effect of Thermal Mass on Performance of Insulated Building Walls and the Concept of Energy Savings Potential. Applied Energy, 89(1), 430–442. https://doi.org/10.1016/j.apenergy.2011.08.009   

Arslan, D., and Özcan, M. M. (2008). Evaluation of drying Methods with Respect to Drying Kinetics, Mineral Content and Colour Characteristics of Rosemary Leaves. Energy Conversion and Management, 49(5), 1258–1264. https://doi.org/10.1016/j.enconman.2007.08.005   

Bal, L. M., Satya, S., Naik, S. N., and Kar, S. K. (2011). Solar Dryer with Turbo Ventilator and Thermal Energy Storage for Drying Turmeric (Curcuma Longa L.): An Experimental Study. Journal of Food Process Engineering, 34(5), 1581–1600. https://doi.org/10.1111/j.1745-4530.2009.00540.x    

Bala, B. K. (1996). Solar Drying Systems: Simulations and optimization. Solar Energy, 57(3), 243–250. https://doi.org/10.1016/S0038-092X(96)00100-7   

Bala, B. K., Mondol, M. R. A., Biswas, B. K., Das Choudhury, B. L., and Janjai, A. S. (2003). Solar Drying of Pineapple Using Solar Tunnel Drier. Renewable Energy, 28(2), 183–190. https://doi.org/10.1016/S0960-1481(02)00036-3   

Barnwal, P., and Tiwari, G. N. (2008). Grape Drying by Using Hybrid Photovoltaic-Thermal (PV/T) Greenhouse Dryer: An Experimental Study. Solar Energy, 82(12), 1131–1144. https://doi.org/10.1016/j.solener.2008.05.012   

Bastide, D., Lauret, B., Boyer, M., and Garde, F. (2008). Building Ventilation: A Pressure Airflow Model Computer Generation and Elements of Validation. Energy and Buildings, 40(4), 648–660. https://doi.org/10.1016/j.enbuild.2007.05.011   

Caputo, A. C., Pelagagge, P. M., and Salini, P. (2016). Economic Analysis of Solar-Powered Drying Systems for Food Processing. Drying Technology, 34(9), 1022–1037. https://doi.org/10.1080/07373937.2015.1087400   

Chou, S. K., and Chua, J. C. (2001). New Hybrid Drying Technologies for Heat Sensitive Foodstuffs. Trends in Food Science and Technology, 12(10), 359–369. https://doi.org/10.1016/S0924-2244(01)00102-9   

Datta, A. K. (2002). Heat and Mass Transfer in Food Processing. CRC Press. https://doi.org/10.1201/9781420041348   

Doymaz, S. (2021). Drying of Thyme (Thymus vulgaris L.) and Selection of a Suitable Thin-Layer Drying Model. Journal of Food Processing and Preservation, 45(5), e15413. https://doi.org/10.1111/jfpp.15413   

Edwards, H. G. M., Farwell, D. W., and Webster, D. (1997). FT Raman Microscopy of Untreated Natural Plant Fibres. Spectrochimica Acta Part A: Molecular and Biomolecular Spectroscopy, 53(13), 2383–2392. https://doi.org/10.1016/S1386-1425(97)00178-9   

El-Sebaii, A. A., and Shalaby, S. M. (2012). Solar Drying of Agricultural Products: A Review. Renewable and Sustainable Energy Reviews, 16(1), 37–43. https://doi.org/10.1016/j.rser.2011.07.134   

Fadhel, A., Abderrahim, K., and Kooli, A. (2011). Experimental Study of the Drying of Hot Red Pepper in the Open Air, Under Greenhouse and in a Solar Drier. International Journal of Renewable Energy Technology, 2(1), 1–16. https://doi.org/10.1504/IJRET.2011.037982   

Food and Agriculture Organization of the United Nations. (2019). The State of Food and Agriculture 2019: Moving Forward on Food Loss and Waste Reduction. FAO.

Fudholi, A., Sopian, K., Othman, M. Y., Ruslan, M. H., and Bakhtyar, M. A. (2013). Energy Analysis and Improvement Potential of Finned Double-Pass Solar Collector. Energy Conversion and Management, 75, 234–240. https://doi.org/10.1016/j.enconman.2013.06.027      

Fudholi, A., Sopian, K., Ruslan, M. H., Alghoul, M. A., and Sulaiman, M. Y. (2010). Review of solar Dryers for Agricultural and Marine Products. Renewable and Sustainable Energy Reviews, 14(1), 1–30. https://doi.org/10.1016/j.rser.2009.07.032   

Fudholi, A., Sopian, K., Yazdi, M. H., Ruslan, M. H., Gabbasa, M., and Ibrahim, A. (2014). Performance Analysis of Solar Drying System for Red Chili. Solar Energy, 99, 47–54. https://doi.org/10.1016/j.solener.2013.10.019   

Goyal, R. K., and Singh, P. P. (2022). Performance Evaluation of Greenhouse Dryer with Opaque North Wall. Energy Reports, 8, 119–125. https://doi.org/10.1016/j.egyr.2022.05.168   

Henderson, S. M., and Pabis, S. (1961). Grain Drying Theory I: Temperature Effect on Drying Coefficient. Journal of Agricultural Engineering Research, 6(3), 169–174. 

Hossain, M. A., and Bala, B. K. (2007). Drying of Hot Chilli Using Solar Tunnel Drier. Solar Energy, 81(1), 85–92. https://doi.org/10.1016/j.solener.2006.06.008    

Hossain, M. A., Amer, K. A., and Bala, B. K. (2007). Drying of Hot Chilli Using Solar Tunnel Drier. Solar Energy, 81(1), 85–92. https://doi.org/10.1016/j.solener.2006.06.008   

Hossain, M., and Bala, B. (2003). Drying of Tomato Using Solar Tunnel Drier. Renewable Energy, 28(2), 183–190. https://doi.org/10.1016/S0960-1481(02)00011-6   

Janjai, H. (2010). A Greenhouse type Solar Dryer for Small-Scale Dried Food industries: Development and Dissemination. International Journal of Energy and Environment, 1(5), 861–870.  

Janjai, S. (2012). A Greenhouse Type Solar Dryer for Small-Scale Dried Food Industries: Development and Dissemination. International Journal of Energy and Environment Engineering, 3, 1–7. https://doi.org/10.1186/2251-6832-3-25   

Janjai, S., Intawee, P., Kaewkiew, J., Sritus, C., and Khamvongsa, V. (2011). A Large-Scale Solar Greenhouse Dryer Using Polycarbonate Cover: Modeling and Testing in a Tropical Environment of Lao People's Democratic Republic. Renewable Energy, 36(3), 1053–1062. https://doi.org/10.1016/j.renene.2010.09.008   

Janjai, S., et al. (2009). Experimental and Simulated Performance of a Pv-Ventilated Solar Greenhouse Dryer for Drying of Peeled Longan and Banana. Solar Energy, 83(9), 1550–1565. https://doi.org/10.1016/j.solener.2009.05.003   

Kabeel, A. E., Abdelgaied, M., and Essa, F. A. (2020). Enhancement of Hybrid Solar Desalination System Composed of Solar Panel and Solar Still by using Porous Material and Saline Water Preheating. Solar Energy, 204, 382–394. https://doi.org/10.1016/j.solener.2020.04.090   

Karim, M. A., and Hawlader, M. N. A. (2006). Performance Investigation of Flat Plate, V-Corrugated and Finned Air Collectors. Energy, 31(4), 452–470. https://doi.org/10.1016/j.energy.2005.02.013   

Khalloufi, M. A. M., Ratti, C., and Gariepy, Y. (2019). Quality Attributes of Fruits and Vegetables Dried by Emerging Drying Technologies. Critical Reviews in Food Science and Nutrition, 59(16), 2577–2594. https://doi.org/10.1080/10408398.2018.1456402   

Kim, M. K., Kim, H. J., Choi, H. S., and Jeong, J. W. (2014). Field Measurements and Numerical Analysis on the Performance of a Turbo Ventilator. Building and Environment, 76, 58–68. https://doi.org/10.1016/j.buildenv.2014.03.007   

Kiranoudis, C. T., Maroulis, Z. B., and Marinos-Kouris, D. (1992). Drying Kinetics of Some Fruits. Drying Technology, 10(5), 1093–1113. https://doi.org/10.1080/07373939208916511   

Kumar, A., and Tiwari, G. N. (2008). Effect of Wind Speed on Performance of a Greenhouse Dryer. Agricultural Engineering International: CIGR Journal, 10, Manuscript 08 009.  

Kumar, A., Chauhan, P. S., and Dhiman, R. C. (2018). Thermal Performance of a Solar Greenhouse Dryer Using Different Methods of Heat Storage. Journal of Food Process Engineering, 41(2), e12563. https://doi.org/10.1111/jfpe.12563    

Malik, M. A. S., Tiwari, G. N., Kumar, A., and Sodha, M. S. (1982). Solar Distillation. Pergamon Press. https://doi.org/10.1016/B978-0-08-025478-0.50007-3   

Mathur, J., Mathur, G. D., and Anup, S. (2006). Performance of Non-Conventional Energy Assisted Turbo Ventilator. Renewable Energy, 31(12), 1975–1984. https://doi.org/10.1016/j.renene.2005.09.016   

Mathur, J., Mathur, G. D., and Sodha, M. S. (2006). Experimental Performance of a Directional Turbine Ventilator. Renewable Energy, 31(14), 2297–2308. https://doi.org/10.1016/j.renene.2005.11.005   

Miranda, J. M., Anton, X., Redondo-Valbuena, C., Roca-Saavedra, P., Rodriguez, J. A., and Cepeda, A. (2015). Egg and Egg-Derived Foods: Effects on Human Health and use as Functional Foods. Nutrients, 7(1), 706–729. https://doi.org/10.3390/nu7010706   

Misha, S., Mat, S., Ruslan, M. H., Sopian, K., and Mahlia, T. M. I. (2016). Performance of a Solar-Assisted Solid Desiccant Dryer for Kenaf Core Drying. Drying Technology, 34(10), 1231–1241. https://doi.org/10.1080/07373937.2015.1099544   

Misha, S., Mat, S., Ruslan, M. H., Sopian, K., and Salleh, E. (2015). Performance of a Solar-Assisted Solid Desiccant Dryer for Oil Palm Fronds Drying. Solar Energy, 112, 194–204. https://doi.org/10.1016/j.solener.2014.11.017   

Mujumdar, A. S. (2014). Handbook of Industrial Drying (4th ed.). CRC Press. https://doi.org/10.1201/b17089   

Nwakuba, S. N., Nwaigwe, K. N., and Okoye, P. A. C. (2020). Energy Consumption and Economic Costs of Different Dryers for Cassava Processing. Energy Reports, 6, 486–499. https://doi.org/10.1016/j.egyr.2019.09.013   

Oosthuizen, T. P. (2016). Solar Drying of Fruit: A Comparison of Different Dryer Types. Acta Horticulturae, 1139, 559–566. https://doi.org/10.17660/ActaHortic.2016.1139.96   

Page, M. J. (1949). Factors Influencing the Maximum Rates of Air Drying Shelled Corn in Thin-Layers (Master’s thesis). Purdue University.  

Patil, A. K., Kapatkar, J. S., and Prabhu, S. V. (2012). Experimental Investigations on a Turbo Ventilator. Journal of Energy in Southern Africa, 23(4), 10–17.   

Patil, A. K., Kapatkar, J. S., and Prabhu, S. V. (2013). CFD Analysis of a Turbo Ventilator. International Journal of Ventilation, 12(3), 271–282. https://doi.org/10.1080/14733315.2013.11684019   

Prakash, O., and Kumar, A. (2014). Solar Greenhouse Drying: A Review. Renewable and Sustainable Energy Reviews, 29, 905–910. https://doi.org/10.1016/j.rser.2013.08.084   

Prakash, S., Kumar, V., and Kumar, A. (2021). Performance Evaluation of Greenhouse Dryer with Latent Heat Storage. International Journal of Energy Research, 45(2), 2008–2023. https://doi.org/10.1002/er.5902   

Ramaswamy, H. S., and Marcotte, M. (2005). Food Processing: Principles and Applications. CRC Press. https://doi.org/10.1201/9781420028873   

Riffat, S. J., and Gillott, P. (2006). Passive and Low Energy Cooling of Buildings. Renewable Energy, 31(4), 445–470. https://doi.org/10.1016/j.renene.2005.04.010   

Salem, M. R., Ali, R. K., and Elshazly, M. M. (2021). Experimental Investigation of the Performance of a Large-Scale Greenhouse Type Solar Dryer for Drying Dates. Energy Reports, 7, 174–181. https://doi.org/10.1016/j.egyr.2021.06.028   

Sharma, S. K., Sethi, V. P., and Chauhan, M. S. (2021). A Review on Application of Turbo Ventilator in Buildings and Solar Dryers. Materials Today: Proceedings, 46(17), 7825–7830. https://doi.org/10.1016/j.matpr.2021.02.496   

Sharma, S. K., Sethi, V. P., Chauhan, M. S., and Thakur, P. S. (2022). Design and Performance Evaluation of a Hybrid Photovoltaic-Thermal (PVT) Greenhouse Dryer for Medicinal Plants. Journal of Thermal Analysis and Calorimetry, 147, 1095–1111. https://doi.org/10.1007/s10973-020-10400-y    

Shukla, S. K., Sethi, V. P., Sharma, S. K., and Chauhan, M. S. (2022). Performance Analysis of Greenhouse Dryer with Phase Change Material as Thermal Energy Storage. Journal of Thermal Analysis and Calorimetry, 147, 1221–1232. https://doi.org/10.1007/s10973-020-10400-y   

Singh, P. P., Gaur, S. K., and Singh, D. S. (2021). Design and Development of Greenhouse Dryer Integrated With Turbo Ventilator. Materials Today: Proceedings, 46(17), 7791–7795. https://doi.org/10.1016/j.matpr.2021.02.489   

Singh, P. P., Gaur, S. K., and Singh, D. S. (2021). Performance analysis of Greenhouse Dryer Using Different Absorbing Materials. International Journal of Ambient Energy, 42(10), 1171–1178. https://doi.org/10.1080/01430750.2019.1594368   

Singh, P. P., Gaur, S. K., and Singh, D. S. (2022). Experimental Investigation of Drying Kinetics of Mint Leaves in a Solar Dryer Integrated with Turbo Ventilator. Journal of Food Process Engineering, 45(3), e13965. https://doi.org/10.1111/jfpe.13965   

Singh, P. P., Gaur, S. K., and Singh, D. S. (2022). Performance Evaluation of Forced Convection Mixed-Mode Solar Dryer for Drying of Stevia Leaves. Energy Sources, Part A: Recovery, Utilization, and Environmental Effects, 44(1), 1848–1865. https://doi.org/10.1080/15567036.2022.2056026   

Sodha, M. S., Bansal, N. K., Kumar, A., Bansal, P. K., and Malik, M. A. S. (1987). Solar Crop Drying (Vols. I and II). CRC Press.  

Sopian, K., Daud, W. R. W., Othman, M. Y., and Yatim, B. (1998). Thermal Performance of the Double-Pass Solar Collector with and without Porous Media. Renewable Energy, 14(1–4), 369–374. https://doi.org/10.1016/S0960-1481(98)00091-1   

Sreekumar, A., Manikantan, P. E., and Vijayakumar, K. P. (2008). Performance of Indirect Solar Cabinet Dryer. Energy Conversion and Management, 49(6), 1388–1395. https://doi.org/10.1016/j.enconman.2008.01.005   

Tiwari, G. N. (2002). Solar Energy: Fundamentals, Design, Modelling and Applications. Narosa Publishing House.  

Yaldiz, K. A., and Ertekin, C. (2001). Thin Layer Solar Drying of Some Vegetables. Drying Technology, 19(3–4), 583–597. https://doi.org/10.1081/DRT-100103936   

Zedan, M. F., and Al-Sanea, A. S. (2010). CFD Simulations for Flow and Heat Transfer in a Ventilated Cavity with a Rotating Ventilator. Numerical Heat Transfer, Part A: Applications, 58(7), 543–564. https://doi.org/10.1080/10407782.2010.509669     

    

Creative Commons Licence This work is licensed under a: Creative Commons Attribution 4.0 International License

© IJETMR 2014-2026. All Rights Reserved.