IJETMR
CONTROL AND IDENTIFICATION OF CONTROLLED AUTO-REGRESSIVE MOVING AVERAGE (CARMA) FORM OF AN INTRODUCED SINGLE-INPUT SINGLE-OUTPUT TUMOR MODEL

Control and identification of controlled auto-regressive moving average (CARMA) form of an introduced single-input single-output tumor model

 

Kiavash Hossein Sadeghi 1Icon

Description automatically generated, Abolhassan Razminia 2Icon

Description automatically generated, Abolfazl Simorgh 3Icon

Description automatically generated

 

1 Department of Electrical Engineering, Faculty of Intelligent Systems Engineering and Data Science, Persian Gulf University, Bushehr 75169, Iran

2 Department of Electrical Engineering, Faculty of Intelligent Systems Engineering and Data Science, Persian Gulf University, Bushehr 75169, Iran

3 Department of Aerospace Engineering, Universidad Carlos III de Madrid, 28911 Leganés, Spain

 

A picture containing logo

Description automatically generated

ABSTRACT

The article investigates the parameter estimation for controlled auto-regressive moving average models with gradient based iterative approach and two-stage gradient based iterative approach. Since deriving a new model for tumor model is substantial, introduced system identification algorithms are used in order to estimate parameters of a specific nonlinear tumor model. Besides, in order to estimate tumor model a collection of output and input data is taken from the nonlinear system. Apart from that, effectiveness of the identification algorithms such as convergence rate and estimation error is depicted through various tables and figures. Finally, it is shown that the two stage approach has higher identification efficacy.

 

Received 05 January 2024

Accepted 04 February 2024

Published 20 February 2024

Corresponding Author

Abolhassan Razminia, razminia@pgu.ac.ir

DOI 10.29121/ijetmr.v11.i2.2024.1403   

Funding: This research received no specific grant from any funding agency in the public, commercial, or not-for-profit sectors.

Copyright: © 2024 The Author(s). This work is licensed under a Creative Commons Attribution 4.0 International License.

With the license CC-BY, authors retain the copyright, allowing anyone to download, reuse, re-print, modify, distribute, and/or copy their contribution. The work must be properly attributed to its author.

 

Keywords: Gradient Based Iterative Algorithms, 2-STAGE Identification, System Identification, Parameter Estimation, Tumor Model


1. INTRODUCTION

The iterative and recursive algorithms could be used to solve matrix equations Wang (2007), Ding (2005), Xie (2010), parameter estimation problems Li (2018),  Li (2018), Liu (2010) and filtering issues Ma (2020). In parameter estimation approaches which are recursive, the estimation of parameters can to be calculated in an online framework Du (2017), Wei (2017). On the other hand, the primary notion of the hierarchical algorithms is to update estimation of the parameters by applying a set of data Ding (2018), Ding (2019), Sadeghi (2023). The hierarchical parameter estimation approaches make adequate use of all output and input Data Li (2020), Wang (2020), and could enhance the accuracy of estimation of parameters Li (2020), Ding (2020) and convergence rate of parameters Li (2021), Chen (2020).

 Two-stage algorithms have an enormous usage in the realm of parameter identification Sadeghi (2023), Sadeghi (2023) developed a two-stage step-wise system identification approach for a class of nonlinear dynamic systems Li et al. (2006). In Raja (2015), two-stage least mean square adaptive methods relying on process of fractional signal were fostered regarding CARMA systems. A two-stage neural network algorithms related to ARMA model estimation by the use of a simple mean called extended sample autocorrelation function is presented Lee (1994). In Bin (2012), a two-stage method is introduced regarding the system identification of an ARMAX model which identifies ARX and MA part separately by bias-eliminated least squares method and another basic method respectively. Also in Ding (2020), a new two-stage algorithm for estimating parameter of system is brought up but in this article as a novelty, a CARMA system is discussed.

Having a suitable model for tumor system has become an integral issue since the death rate of cancer has become considerable. Accessing a suitable polynomial model for tumor can make the designing of a controller for system much easier. In Pillis (2020), a four population model is presented which contains  tumor cells, host cells, drug interaction, immune cells  and a controller based on optimization, which is used to satisfy the specific desire. In Sweilam & AL-Mekhlafi (2018), an updated nonlinear mathematical format of a general tumor beneath immune suppression is discussed.  The brought up model in this paper is ruled by a fractional differential equations system. Lobato (2016) presented another model for tumor and in their works they aim to reach a protocol of optimization for injection of drug to sick individuals having cancer, by the making both of the cells having cancer and the drug concentration which has been prescribed minimum Lobato (2016). Tumor model presented in this last research is the basis of our study throughout the rest of the paper.

Controlling a CARMA or ARMAX model system has been the subject of a few papers and not much work has been done in this field. For instance, In Chen & Guo (1987), an optimal adaptive control for ARMAX systems using a quadratic loss function is introduced. In Li (2021), abrupt faults in ARMAX models have been taken into consideration and reliable control problem has been studied. Multivariable system control is discussed in Osorio-Arteaga (2020) where a robust adaptive control is applied to ARMA and ARMAX structures of an electric arc model. Furthermore, linear neural networks was set as a study tool for adpative control of CARMA systems Watanabe (1992).

In the following section, a nuance characteristic of the system configuration regarding the CARMA configuration is brought up. Also, section section 3 includes the mathematics of two novel GI algorithm. Section 4 describes a specific tumor model. In section 5, all the necessary simulations for showing the effectiveness of new algorithms are illustrated by identifying a tumor model. Eventually, in the last section, all the outcomes were derived.

 

 

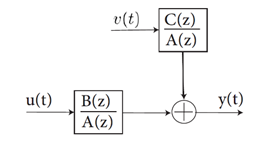
2. System model: Carma systems

Take the introduced below CARMA system into consideration:

 

 

Here u(t) is the succession of input of the system, y(t) is the  succession of output of the system and  is a  succession of white noise with zero mean and variance  Also A(q), B(q) and c(q) are multinomial in the monad backward variation agent [i.e.  For simplicity in the rest of the paper, we have the following notations: A =: X describes A is described as X; The indication I () is an identity matrix with suitable dimensions ($1_{n}$ indicates a vector of n-dimensional column  which all components are 1. The superscript T indicates the transpose of a matrix; the  matrix norm is described by .

A diagram of a mathematical algorithm

Description automatically generated

 

Now look at the CARMA system shown in Figure \ref{fig.1}. We define A(q), B(q) and C(q) as polynomials of known orders  as

follows:

 

In a generic way, it is presumed that y(t) = 0, u(t) = 0 and  = 0 for t  0. Take , Consider the system parameter vectors:

 

 

and the corresponding information vectors:

 

 

Based on the above definitions and equation (\ref{eq.1}), we attain the the below parameter estimation configuration:

 

 =,

 

y(t)= + + ,                                                                                                       (2)

 

y(t)= + ,                                                                                                                      (3)

 

3. Theory of identification and control algorithms

3.1. Gradient based iterative algorithms(GI)

We consider k=1,2,3,… as an hierarchical variable and as the hierarchical  identification of and while k iteration has established. Beyond that  is the biggest eigenvalue of the matrix of symmetric format X.

Now we take an array of data with length L which works with the model introduced in. Here, we consider the vector of stacked output data Y(L) and matrix of the stacked data   like:

 

Y(L):=

 

:=

 

Now we define the static criterion function as follows:

 

 

which can be equally described as:

 

By taking advantage of negative gradient probe, calculating the partial derivative of  regarding , we attain this iterative relation:

 

        

 =

 

 

Here,  is a convergence factor or an iterative step-size. To make sure about convergence of , all the eigenvalues of  should be in the monad circle, so  therefore as suitable conservative form of  we have:

 

 

As to eschew calculating the intricate eigenvalues of a matrix which is square and to decrease evaluation expense, the trace of matrix is taken advantage of and capitalized on a different manner for picking up the convergence rate:

 

 

Now it is possible to attain the gradient based iterative method for CARMA system presented in equation (1) with the following set of equations:

 

                                               (4)

 

                                                                                                                             (5)

 

                                                                                                    (6)

 

                                                                                                 (7) 

 

                                                                (8)

 

                                                                                                                                                            (9)

 

                                                                          (10)

 

The steps of calculating from equation (4)-(10) summarized as below:

1)    Regarding  set every variable to zero. Assume k = 1, take the data length L (Land take the primary amounts,  and the system identification precision .

2)     Gather all the input u(t) and output y(t) for t=1,2,…,L.

3)    Attain the vectors of information  by equation (9),  by equation (10) and  by equation (8).

4)     Form the vector of stacked output Y(L) regarding equation (6) and the matrix of stacked information  regarding equation (7), also pick up a large  based on equation (5).

5)     Upgrade the parameter estimation vector $\hat{\Theta}{k}$ by equation (\ref{eq.4}).

6)     Contrast  with . If extend k in unit order and start from step 5. In all other respects, attain iteration k and the system identification vector .

 

3.2. Two-stage Gradient based iterative algorithms (2S-GI)

Consider the CARMA model described in equation (\ref{eq.2}).

First, we define these two imaginary output variables:

 

 

Afterwards by these definitions we have:

 

                                                                                                                  (11)

 

                                                                                                                 (12)

 

Take $L$ as data length. According to equation (11) and (12), we define these two static criterion functions:

 

                                                                                                     (13)

 

 

Consider the vector of stacked output Y(L), vectors of the stacked imaginary outputs   and , and the matrices of stacked information  and  are as follows:

 

 

 

Equations (13) and (14) can be equivalently written as:

 

 

By taking advantage of the search of negative gradient to make the criterion functions above minimum, we have:

 

          

          

           =

   

            

          

          

          

   

To make sure about convergence of  and   all the eigenvalues of  and , should be in the unit circle, so we have:

 

          

 

          

 

 Therefore, similar to GI algorithm as a conservative choice, we have the following relation for  and

 

 

 

 

 

 In brief, we have the following set of equations for 2S-GI algorithm:

 

                                             (15)

 

                                                                                                                         (16)

 

 

 

 

 

 

                                                                               (20)

 

 

                                                                                                                                                    (22)

 

 

                                                   (24)

 

                                                                                                     (25)

 

The steps of attaining  and included in the 2S-GI approach from equation (15)–(25) are brought up as follows:

1)    Regarding , put every parameter to 0. Imagine k=1 take the length of data  as L ( and set the initial values as:  and the parameter estimation accuracy

2)     Gather all the input u(t) and output y(t) for t=1,2,…,L. Attain the information vectors (22) by equation (22) and (t) by equation (23).

3)     Build the vector of stacked output Y(L) by (19) and the matrices of stacked information   and  by (20) and (21), calculate the convergence factor  and  regarding (16) and (18).

4)     Update the vectors of parameter approximation  by

(15) and (17).

5)     Compare with and  with :If +> , extend k by $1$ and start from step 4. In all other respects attain iteration k and the vectors of estimation of parameters and .

 

4. Control theory

In this part of the paper, theory of a ziegler nichols PID controller for third order processes introduced in (Bobal, 2006) is brought up. The control law which we took advantage of is:

                  (26)

 

 

Here  is the controller error. The feedback form of control law is:

 

                   (28)

 

Where  respectively are:

And we have:

.

And  are ultimate period and ultimate gain respectively.

          

5. Tumor model

I indicate the immune cells number at time t, T denotes the tumor cells number at time t, N describes the normal (host) cells number at time t, and u is the plan of control.\begin{figure}[h] \centering \includegraphics[width=.5\linewidth]{T-I-N.eps} \caption{Random tumor and immune cells interactions.}

          

 

 ,

 

.

Values of known parameters in above equations are listed below Lobato (2016)

Parameter
Values
Parameter
Values
0.3
0.1
1
1
0.5
1
0.5
1
1
0.2
0.01
1.5
1
S
0.33
 
 

 

Therefore, we yield: \begin{equation*} \begin{split}

 ,

 ,

 .

 

6. Simulations

6.1. Estimation of T(t)

In this paper, we aim to identify T(t) as the quantity of tumor cells at time t and I(t) as the quantity of immune cells at time t, by presenting novel parameter estimation method. In simulations assume , and . In simulations,, =1 and =1. \subsection{Estimation of T(t)}

The CARMA model of T(t) as the output and u(t) as the input is:

 

Table 1

Table 1 Estimation Result for

Algorithms

t=L

1000

-0.1005

-0.8864

-1.7053

GI

2000

-0.0970

-0.8816

-1.7751

3000

-0.0974

-0.8822

-1.7473

1000

-0.0976

-0.8835

-1.7570

2S-GI

2000

-0.0946

-0.8836

-1.7145

3000

-0.0921

-0.8797

-1.7161

True value

-0.0862

-0.8937

-1.7580

 

Algorithms

t=L

1000

1.7859

-0.0460

-0.0020

GI

2000

1.7389

0.0229

0.0426

3000

1.7378

0.0231

0.0009

1000

1.7690

0.0019

-0.0030

2S-GI

2000

1.7380

0.0281

-0.0189

3000

1.7726

0.0455

-0.0485

1.7570

0.6264

-0.3459

 

Algorithms

t=L

1000

7.6604

GI

2000

6.8844

3000

6.4698

1000

6.8316

2S-GI

2000

6.2351

3000

5.7110

 

A graph of a number of data

Description automatically generated

Estimation of and for CARMA System with Variance  and Number of Data L=1000 with GI Algorithm

 

A graph with a blue line and a red line

Description automatically generated

Estimation of for CARMA System with Variance  and Number of Data L=1000 with 2S-GI Algorithm

 

A graph with a red line and a blue line

Description automatically generated

Estimation of for CARMA System with Variance  and Number of Data L=1000

 

A graph of a number of data

Description automatically generated

Estimation Error for CARMA System with Variance and Number of Data L=1000

 

Table 2

Table 2 Estimation Results for

Algorithms

t=L

1000

-0.1182

0.8405

-1.6400

GI

2000

-0.1412

-0.8478

-1.7594

3000

-0.136

-0.8474

-1.7737

1000

-0.1379

-0.8400

-1.6632

2S-GI

2000

-0.1332

-0.8451

-1.6933

3000

-0.1270

-0.8465

-1.7573

True value

-0.0862

-0.8937

-1.7580

 

 

Algorithms

t=L

1000

1.8659

-0.1413

-0.1693

GI

2000

1.9069

0.0147

0.0319

3000

1.8679

0.0142

0.0082

1000

1.9208

-0.0274

0.0265

2S-GI

2000

1.8392

0.0123

-0.0094

3000

1.8060

0.0385

-0.0566

1.7570

0.6264

-0.3459

 

Algorithms

t=L

1000

8.6731

GI

2000

6.7497

3000

6.9010

1000

8.1050

2S-GI

2000

6.2351

3000

5.8114

 

6.2. Estimation of I(t)

The CARMA model of $I(t)$ as the output and u(t) as the input is:

Table 3

Table 3 Estimation Results for

Algorithms

t=L

1000

-1.042

0.0541

0.8791

GI

2000

-0.9243

-0.0612

-0.8699

3000

-0.9436

-0.0405

-0.9078

1000

-0.9297

-0.05

-0.8541

2S-GI

2000

-0.941

-0.0471

-0.8699

3000

-0.127

-0.8465

-1.7573

True value

0.9499

-0.0345

-0.8921

 

Algorithms

t=L

1000

0.8782

-0.1586

0.0987

GI

2000

0.7725

0.0158

-0.0080

3000

0.7917

0.0165

0.0248

1000

0.7871

-0.0219

-0.0229

2S-GI

2000

0.7537

0.0324

0.0342

3000

0.7697

-0.0238

0.0200

1.7570

0.6264

-0.3459

 

 

 

Algorithms

t=L

1000

3.7344

GI

2000

3.0066

3000

2.3635

1000

2.9884

2S-GI

2000

2.1040

3000

1.9732

 

Table 4

Table 4 Estimation Results for

Algorithms

t=L

1000

-0.9189

-0.0712

-0.8799

GI

2000

-0.8958

-0.0928

-0.9277

3000

-0.9008

-0.0857

-0.8848

1000

-0.9282

-0.0555

-0.8405

2S-GI

2000

-0.9542

-0.0366

-0.9301

3000

-0.1270

-0.8465

-1.7573

True value

-0.9175

-0.0647

-0.8817

 

Algorithms

t=L

1000

0.6899

-0.0324

0.0286

GI

2000

0.8068

0.0209

0.0159

3000

0.8065

-0.0254

-0.0163

1000

0.6995

0.0206

-0.0171

2S-GI

2000

0.8130

0.0207

-0.0189

3000

0.7981

0.0217

0.0273

1.7570

0.6264

-0.3459

 

Algorithms

t=L

1000

4.039

GI

2000

3.3538

3000

2.8344

1000

3.8944

2S-GI

2000

2.5776

3000

2.2446

A graph with a blue line and a red line

Description automatically generated

 

A graph with a blue line

Description automatically generated

 

A graph with a blue line

Description automatically generated

 

A graph with a red line and blue line

Description automatically generated

 

7. Control of tumor models

The final goal of this research is to make the amount of tumor cells minimum, therefore we take T(t)=0 as the desired output of the system. Based on control theory introduced in the third section and the identified polynomial model of T(t), the ultimate period and ultimate gain is  and  Therefore  and  and .

The output and input of the feedback form is depicted in the next two figures.

From tables and figures above, the below results are derived:

·        The system identification errors of the GI and 2S-GI approaches decrease as the data length increases.

·        2S-GI method, compared to GI method, produces less error and therefore is more effective at estimating parameters.

·        As the noise to ratio signal rises, both introduced algorithms produce a larger amount of error.

·        From figures, it is perceived that both introduced algorithms converge at a final point and have a competent convergence rate.

·        The introduced controller proved that, it is able to make the amount of tumor cells in a specific period of time minimum.

 

8. Conclusion

In this contribution, mathematical theories and algorithms of  two identification methods of GI and 2S-GI for CARMA systems were developed. GI is an old method but 2S-GI is a novel method which introduced in this paper. Furthermore, a tumor model with one input and three outputs were presented by works of other scholars. By means of introduced parameter estimation approaches, the model were identified. Above that, by taking advantage of a ziegler nichols PID controller the amount of tumor cells were controlled and it was illustrated that the controller could minimize amount of tumor cells in a specific span of time. Also, the GI and 2S-GI algorithm showed that they both are able to estimate parameter of a polynomial CARMA configuration in fast convergence rate and by producing an insignificant amount of error.

 

CONFLICT OF INTERESTS

None. 

 

ACKNOWLEDGMENTS

None.

 

REFERENCES

Bin, X. I. (2012). A Two-Stage ARMAX Identification Approach Based on Bias-Eliminated Least Squares and Parameter Relationship Between MA Process and Its Inverse. Acta Automática Sinica, 491-496. https://doi.org/10.1016/S1874-1029(11)60310-8

Bobál, V. E. (2006). Digital Self-Tuning Controllers: Algorithms, Implementation and Applications. Springer Science & Business Media.  

Chen, H.-F., & Guo, L. (1987). Optimal Adaptive Control and Consistent Parameter Estimates for ARMAX Model with Quadratic Cost. SIAM Journal on Control and Optimization, 845-867. https://doi.org/10.1137/0325047

Chen, J. Q. (2020). Modified Kalman Filtering Based Multi-Step-Length Gradient Iterative Algorithm for ARX Models with Random Missing Outputs. Automatica. https://doi.org/10.1016/j.automatica.2020.109034

De Pillis, L. G. (2001). A Mathematical Tumor Model with Immune Resistance and Drug Therapy: An Optimal Control Approach. Computational and Mathematical Methods in Medicine, 79-100. https://doi.org/10.1080/10273660108833067

Ding, F. A. (2005). Gradient Based Iterative Algorithms for Solving a Class of Matrix Equations. IEEE Transactions on Automatic Control, 1216-1221. https://doi.org/10.1109/TAC.2005.852558

Ding, F. E. (2019). Gradient-Based Iterative Parameter Estimation Algorithms for Dynamical Systems from Observation Data. Mathematics. https://doi.org/10.3390/math7050428

Ding, F. E. (2020). Gradient Estimation Algorithms for the Parameter Identification of Bilinear Systems using the Auxiliary Model. Journal of Computational and Applied Mathematics. https://doi.org/10.1016/j.cam.2019.112575

Ding, F. E. (2020). Two-Stage Gradient-Based Iterative Estimation Methods for Controlled Autoregressive Systems using the Measurement Data. International Journal of Control, Automation and Systems, 886-896. https://doi.org/10.1007/s12555-019-0140-3

Ding, F. E. (2018). Iterative Parameter Identification for Pseudo-Linear Systems with ARMA Noise Using the Filtering Technique. IET Control Theory and Applications. https://doi.org/10.1049/iet-cta.2017.0821

Du, D. E. (2017). A Novel Networked Online Recursive Identification Method for Multivariable Systems with Incomplete Measurement Information. IEEE Transactions on Signal and Information Processing over Networks, 744-759. https://doi.org/10.1109/TSIPN.2017.2662621

Ji, Z. E. (2020). An Attention-Driven Two-Stage Clustering Method for Unsupervised Person Re-Identification. Computer Vision-ECCV 2020: 16th European Conference. https://doi.org/10.1007/978-3-030-58604-1_2

Lee, J. K. (1994). A Two-Stage Neural Network Approach for ARMA Model Identification with ESACF. Decision Support Systems. https://doi.org/10.1016/0167-9236(94)90019-1

Li, K., Peng, J.-X., & Bai, E.-W. (2006). A Two-Stage Algorithm for Identification of Nonlinear Dynamic Systems. Automatica, 1189-1197. https://doi.org/10.1016/j.automatica.2006.03.004

Li, L. Z. (2020). A Two-Stage Maximum a Posterior Probability Method for Blind Identification of LDPC Codes. IEEE Signal Processing Letters, 111-115. https://doi.org/10.1109/LSP.2020.3047334

Li, M. A (2018). The Least Squares Based Iterative Algorithms for Parameter Estimation of a Bilinear System with Autoregressive Noise Using the Data Filtering Technique. Signal Processing, 23-34. https://doi.org/10.1016/j.sigpro.2018.01.012

Li, M. A. (2018). Auxiliary Model Based Least Squares Iterative Algorithms for Parameter Estimation of Bilinear Systems using Interval-Varying Measurements. IEEE Access, 21518-21529. https://doi.org/10.1109/ACCESS.2018.2794396

Li, M. A. (2020). Maximum Likelihood Least Squares Based Iterative Estimation for a Class of Bilinear Systems using the Data Filtering Technique. International Journal of Control, Automation and Systems, 1581-1592. https://doi.org/10.1007/s12555-019-0191-5

Li, M. A. (2021). Maximum Likelihood Hierarchical Least Squares-Based Iterative Identification for Dual-Rate Stochastic Systems. International Journal of Adaptive Control and Signal Processing, 240-261. https://doi.org/10.1002/acs.3203

Liu, Y. D. (2010). Least Squares Based Iterative Algorithms for Identifying Box-Jenkins Models with Finite Measurement Data. 1458-1467. https://doi.org/10.1016/j.dsp.2010.01.004

Lobato, F. S. (2016). Determination of an Optimal Control Strategy for Drug Administration in Tumor Treatment using Multi-Objective Optimization Differential Evolution. Computer Methods and Programs in Biomedicine, 51-61. https://doi.org/10.1016/j.cmpb.2016.04.004

Ma, H. E. (2020). Partially-Coupled Gradient-Based Iterative Algorithms for Multivariable Output-Error-Like Systems with Autoregressive Moving Average Noises. IET Control Theory and Applications, 2613-2627. https://doi.org/10.1049/iet-cta.2019.1027

Osorio-Arteaga, F. J.-D. (2020). Robust Multivariable Adaptive Control of Time-Varying Systems. IAENG International Journal of Computer Science, 605-612.  

Raja, M. A. (2015). Two-Stage Fractional Least Mean Square Identification Algorithm for Parameter Estimation of CARMA Systems. Signal Processing, 327-339. https://doi.org/10.1016/j.sigpro.2014.06.015

Sadeghi, K. H. (2023). Efficient Identification Algorithm for Controlling Multivariable Tumor Models: Gradient-Based and Two-Stage Method. Advanced Mathematical Models and Applications, 8(2), 185-198.      

Sadeghi, K. H. (2023). Multi-Innovation Iterative Identification Algorithms for CARMA Tumor Models. International Review on Modelling and Simulation. https://doi.org/10.15866/iremos.v16i2.23270

Sadeghi, K. H. (2023). Utilizing ARMA Models for System Identification in Stirred Tank Heater: Different Approaches. Computing Open. https://doi.org/10.1142/S2972370123300030

Sweilam, N. H., & AL-Mekhlafi, S. M. (2018). Optimal Control for a Nonlinear Mathematical Model of Tumor Under Immune Suppression: A Numerical Approach. Optimal Control Applications and Methods, 1581-1596. https://doi.org/10.1002/oca.2427

Wang, L. E. (2020). Decomposition-Based Multiinnovation Gradient Identification Algorithms for a Special Bilinear System Based on its Input-Output Representation. International Journal of Robust and Nonlinear Control, 3607-3623. https://doi.org/10.1002/rnc.4959

Wang, M. X. (2007). "Iterative Algorithms for Solving the Matrix Equation AXB+ CXTD= E.". Applied Mathematics and Computation, 622-629.  

Watanabe, K. T. (1992). An Adaptive Control for CARMA Systems Using Linear Neural Networks. International Journal of Control, 483-497. https://doi.org/10.1080/00207179208934324

Wei, Z. E. (2017). Online Model Identification and State-of-Charge Estimate for Lithium-Ion Battery with a Recursive Total Least Squares-Based Observer. IEEE Transactions on Industrial Electronics, 1336-1346.  

Xie, L. Y. (2010). Gradient Based and Least Squares Based Iterative Algorithms for Matrix Equations AXB+ CXTD= F. Applied Mathematics and Computation, 2191-2199. https://doi.org/10.1016/j.amc.2010.07.019      

Creative Commons Licence This work is licensed under a: Creative Commons Attribution 4.0 International License

© IJETMR 2014-2024. All Rights Reserved.